方法君网站首页
方法君

2021年贵州铜仁中考数学试卷及答案_铜仁2021中考数学试题及解析(2)

2021-11-28 15:06毕成



  以下内容为2021年贵州铜仁中考数学试卷答案解析,大家想要了解《2021贵州铜仁中考数学真题》,可以点击“上一页”即可看到完整版的2021年贵州铜仁中考数学试题,本站除了有详细的中考真题及答案外,还有中考时间、成绩查询入口及查询方式、志愿填报、考试技巧等内容,希望大家收藏本站。

  2021年贵州铜仁中考数学试卷答案解析

2021年贵州铜仁中考数学试卷及答案解析第1页
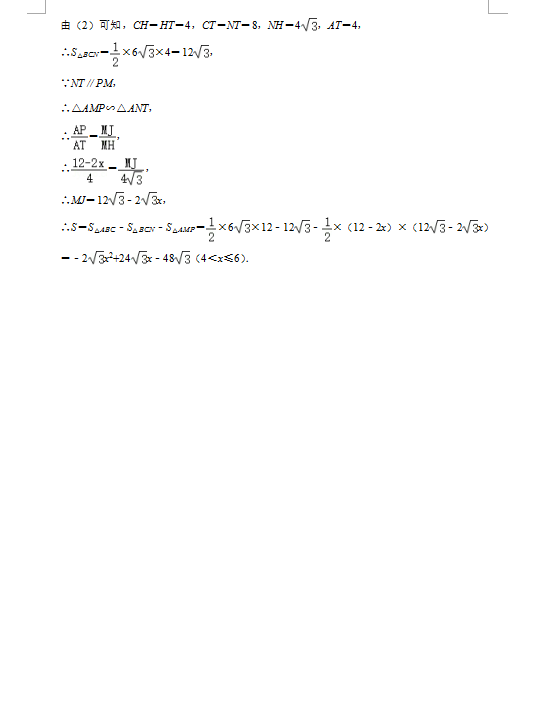
2021年贵州铜仁中考数学试卷及答案解析第2页
2021年贵州铜仁中考数学试卷及答案解析第3页
2021年贵州铜仁中考数学试卷及答案解析第4页
2021年贵州铜仁中考数学试卷及答案解析第5页
2021年贵州铜仁中考数学试卷及答案解析第6页
2021年贵州铜仁中考数学试卷及答案解析第7页
2021年贵州铜仁中考数学试卷及答案解析第8页
2021年贵州铜仁中考数学试卷及答案解析第9页
2021年贵州铜仁中考数学试卷及答案解析第10页
2021年贵州铜仁中考数学试卷及答案解析第11页
2021年贵州铜仁中考数学试卷及答案解析第12页
2021年贵州铜仁中考数学试卷及答案解析第13页
2021年贵州铜仁中考数学试卷及答案解析第14页
2021年贵州铜仁中考数学试卷及答案解析第15页
2021年贵州铜仁中考数学试卷及答案解析第16页
2021年贵州铜仁中考数学试卷及答案解析第17页
2021年贵州铜仁中考数学试卷及答案解析第18页
2021年贵州铜仁中考数学试卷及答案解析第19页
2021年贵州铜仁中考数学试卷及答案解析第20页

相关文章

上一篇:2021年贵州安顺中考数学试卷及答案_安顺2021中考数学试题及解析
下一篇:2021年贵州毕节中考数学试卷及答案_毕节2021中考数学试题及解析