方法君网站首页
方法君

2021年青海海南中考数学试卷及答案_海南2021中考数学试题及解析(2)

2021-11-28 14:31毕成



  以下内容为2021年青海海南中考数学试卷答案解析,大家想要了解《2021青海海南中考数学真题》,可以点击“上一页”即可看到完整版的2021年青海海南中考数学试题,本站除了有详细的中考真题及答案外,还有中考时间、成绩查询入口及查询方式、志愿填报、考试技巧等内容,希望大家收藏本站。

  2021年青海海南中考数学试卷答案解析

2021年青海海南中考数学试卷及答案解析第1页
2021年青海海南中考数学试卷及答案解析第2页
2021年青海海南中考数学试卷及答案解析第3页
2021年青海海南中考数学试卷及答案解析第4页
2021年青海海南中考数学试卷及答案解析第5页
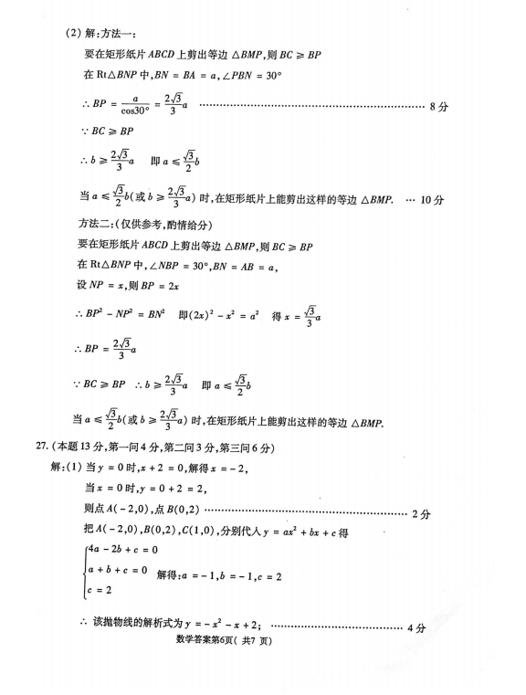
2021年青海海南中考数学试卷及答案解析第6页
2021年青海海南中考数学试卷及答案解析第7页

相关文章

上一篇:2021年青海黄南中考数学试卷及答案_黄南2021中考数学试题及解析
下一篇:2021年青海果洛中考数学试卷及答案_果洛2021中考数学试题及解析