2022年海南中考录取分数线_海南中考分数线公布2022
来源:网络 作者:
参加2022年海南中考的同学及家长,都希望尽早知道2022年海南中考录取分数线是多少?2022年海南高中录取最低分数是多少分?有没有公布呢?为了帮助大家更详细的了解2022年海南中考录取分数线以及海南历年中考分数线一览表,特为大家整理本文,希望可以帮助到大家。
2022年海南中考分数线
2022年海南中考录取分数线暂未公布,大家可以参考一下2021年海南中考录取分数线。
海南2021年中考分数线
海南省考试局,网址:http://ea.hainan.gov.cn/,需要到学生就读学校查询。
2022年海南中考录取分数线就为大家介绍到这里,历年中考分数线一览表、中考志愿填报、中考考试策略等内容,请点击访问:2022中考栏目

2022年海南中考分数线
2022年海南中考录取分数线暂未公布,大家可以参考一下2021年海南中考录取分数线。
海南2021年中考分数线
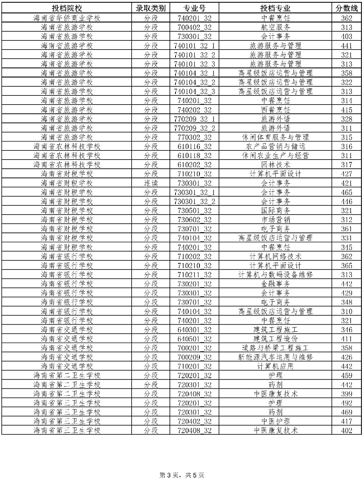
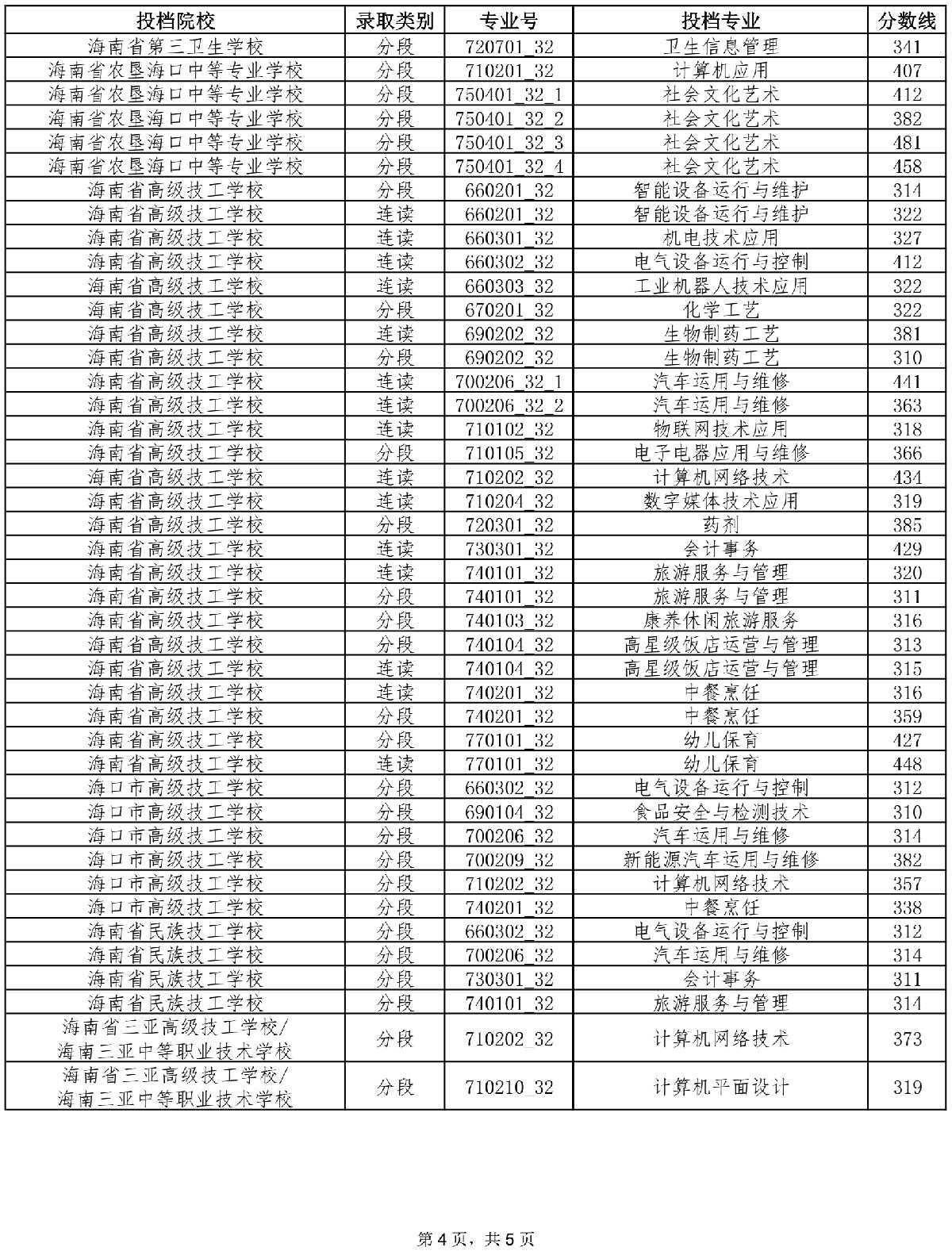
1、海南省中等学校招生提前批投档分数线(一)




海南省中招第一批(A段)投档分数线





中招第一批(B段)投档分数线










2021年海南省普通高中学校录取最低控制分数线
一、在少数民族聚居市县(含汉族地区少数民族聚居乡镇)初中学校毕业的考生为360分。
二、在汉族地区初中学校毕业的考生为410分。
各普通高中学校录取考生必须严格执行以上最低控制分数线(特长生除外),省中招办将通过技术手段监控并限制低于最低控制分数线的考生 在中招录取管理系统上进行录取,违规入读的不予办理学籍。
附:少数民族聚居市县及汉族地区少数民族聚居乡镇初中学校一览

海南省考试局,网址:http://ea.hainan.gov.cn/,需要到学生就读学校查询。
2022年海南中考录取分数线就为大家介绍到这里,历年中考分数线一览表、中考志愿填报、中考考试策略等内容,请点击访问:2022中考栏目